內容目錄
首先需要一個問題叫做布林公式(Boolean formula)會像:
\[\phi = (\bar{x} \wedge y) \vee (x \wedge \bar{z})\]
裡面的每一個符號稱作variable,每一個variable可以給0或1的值就像在做布林運算,一個boolean formula要滿足的話要讓各個variable做完計算後\(\phi\)輸出1
而有一種問題叫做satisfiability problem就是倚靠boolean formula是否滿足來達成條件
\[SAT = \{<\phi>| \phi \> is \> a \>\> satisfiable \>\> Boolean \>\> formula\}\]
定理:Cook-Levin Theorem
\[SAT \in P \>\> iff \>\> P = NP\]
定義:
\(f: \Sigma^{*} \rightarrow \Sigma^{*}\)如果存在多項式時間的Turing Machine M可以接受任何輸入w,並且在tape裡\(f(\omega)\)步驟之後停止並且輸出結果就稱這是一個多項式時間可運算的function
定義:
如果存在一個多項式時間可計算的function \(f: \Sigma^{*} \rightarrow \Sigma^{*}\),\(f\)能輸入任何字串\(\omega\),代表可以讓language A在多項式時間內映射(mapping)轉換(reducible)到language B上,可以表示成\(A \leq_{p} B\)或者可以表示成以下的對應函數:
\[\omega \in A \Leftrightarrow f(\omega) \in B\]

這個function \(f\)做的事情是讓問題A在多項式時間內轉換到問題B
定義:如果\(A \leq_{p} B\) 並且 \(B \in P\), 則代表\(A \in P\)
證明:
存在一組多項式時間Turing Machine M可以決定B的結果並且\(f\)作為多項式時間轉換將A問題換成B問題
N = 輸入任何字串 \(\omega\)
- 計算\(f(\omega)\)
- 放進輸入執行M並且不管M有沒有輸出\(f(\omega)\)都一定要輸出一個結果(這樣才符合algorithm的定義)
定義:
如果一個language B滿足以下兩個條件就可以稱作NP-complete
(1) 問題B屬於NP
(2) 任何問題A屬於NP並且在多項式時間轉換到問題B
(如果只有條件(2)滿足的話叫做NP-hard的特性)
定理:如果B是NP-complete並且\(B \in P\),那麼\(P = NP\)
證明:參照多項式時間轉換的定義
定義:如果B是NP-complete並且\(B \leq_{p} C\)對於\(C \in NP\),那麼C也會是NP-complete
證明:存在任何的language \(A \in NP\)能夠在多項式時間內轉換到\(C\)
\(\because B\)是NP-complete, \(\therefore\) 任何的language \(\in NP\)都可以在多項式時間內轉換到B
\[A \leq_{p}B, B \leq_{p} C \Rightarrow A \leq_{p} C\]
至此所有的language屬於NP都可以在多項式時間內轉換到C
定義:
literal: 一個boolean variable或是一個negated boolean(variable \(x\) 或者 \(\bar{x}\))
clause: \((x_{1} \vee \bar{v_{2}} \vee x_{3} \vee \bar{x_{4}})\)
conjunctive normal form (CNF):
\[(x_{1} \vee x_{2} \vee \bar{x_{3}}) \wedge (x_{4} \vee \bar{x_{5}}) \wedge (x_{3} \vee \bar{x_{6}})\]
3CNF-formula:
\[(x_{1} \vee x_{2} \vee \bar{x_{3}}) \wedge (x_{3} \vee \bar{x_{5}} \vee x_{6}) \wedge (x_{3} \vee \bar{x_{6}} \vee x_{4})\]
3SAT = \(\{<\phi>|\phi\)是一個satisfiable 3cnf-formula\(\}\)
定理:3SAT可以在多項式時間內轉換到CLIQUE
證明:讓\(\phi\)作為一個formula擁有\(k\)個clauses:
\[\phi = (a_{1} \vee b_{1} \vee c_{1}) \wedge (a_{2} \vee b_{2} \vee c_{2}) \wedge … \wedge(a_{k} \vee b_{k} \vee c_{k}) \underset{\Longrightarrow}{f} <G, k>\]
\[\phi = (x_{1} \vee x_{1} \vee x_{2}) \wedge (\bar{x_{1}} \vee \bar{x_{2}} \vee \bar{x_{2}}) \wedge (\bar{x_{1}} \vee x_{2} \vee x_{2})\]

其中\(f\)為多項式時間的轉換function
而\(\phi\)要能夠滿足的話若且唯若\( \in CLIQUE\)
Cook-Levin Theorem
\(SAT \in NP-complete\)
證明:
- \(SAT \in NP\)
- 一個NTM可以猜formula的variable並且在驗證過後看是否滿足\(\phi\)
- 對於任何的\(A \in NP\)並且A可以在多項式時間內轉換到SAT問題上
- 假設N是一個Non-deterministic Turing Machine可以在\(n^{k}\)時間內決定A的輸出,\(k \in constant\),NTM N存在一組表輸入w制定出\(n^{k} \times n^{k}\)大小的表,每一列是NTM的每一條分支在計算輸入w的configuration,如果任何一列結果是accepting的configuration就代表整個表輸出就是accepting

任何accepting的表都是跟NTM N輸入w字串計算後的分支有關

NTM N能夠accept輸入w就代表存在accepting表能決定輸出結果是accept或是reject
\(f:\)多項式時間轉換問題A到SAT問題
輸入w作為問題A的instance,將w轉換產生成formula \(\phi\)
假設\(Q\)跟\(\Gamma\)作為N的state集合以及tape的alphabet
讓\(C = Q \cup \Gamma \cup {#}\) 從\(1 \leq i, j \leq n^{k}\)以及每一個\(s \in C\),可以產生\(x_{i, j, s} \thicksim n^{2k}\)個variable
如果\(x_{i, j, s} = 1\)代表cell[i, j]包含\(s\)
設計一組\(\phi\)可以滿足variable與NTM N輸入w的結果產生一組accepting表
\[\phi = \phi_{cell} \wedge \phi_{start} \wedge \phi_{move} \wedge \phi_{accept}\]
(1)\[\phi_{cell} = \underset{i \leq i, j \leq n^{k}}{\vee}[(\underset{s \in C}{\vee}x_{i,j,s}) \wedge (\underset{s, t \in C, s \neq t}{\wedge} (\bar{x_{i,j,s}} \vee \bar{x_{i,j,t}}))]\]

(2)\[\phi_{start} = x_{1,1,#} \wedge x_{1,2,q_{0}} \wedge x_{1,3,w_{1}} \wedge x_{1, 4,w_{2}} \wedge … \wedge x_{1,n+2,w_{n}} \wedge x_{1,n+3,\cup} \wedge … \wedge x_{x_{1},n^{k}-1, \cup} \wedge x_{1, n^{k}, #}\]
要確認的是第一個row是NTM N輸入w的start configuration,以上就完成表內的一行row,還要再另外產生\(n^{k}-1\)組row
(3)\(\phi_{accept}\)保證表內一定會產生一組accepting的configuration
\[\phi_{accept} = \underset{1 \leq i, j \leq n^{k}}{\vee} x_{i,j,q_{accept}}\]
(4)\(\phi_{move}\):
保證表裡面的每一個row都可以合法地透過NTM N的transition rule來產生
\(\delta(q_{1},a) = {q_{1}, b, R}\)
\(\delta(q_{1},b) = {(q_{2}, c, L), (q_{2}, a, R)}\)
\(\delta(q_{2}, a) = {q_{2}, b, R}\)


合法範例

Claim: 首先檢查第一層的row是不是start configuration,如果是的話代表接下來表內的內容都是合法的,並且上一層跟下一層的configuration都要遵照transition rule

\(\phi_{move} = \underset{1 \leq i, j \leq n^{k}}{\vee}\)(\(i, j\)的表格內容必須是合法的) =
\[\underset{a_{1},….,a_{6}}{\vee}(x_{i-1,j,a_{1}} \wedge x_{i,j,a_{2}} \wedge x_{i+1,j,a_{3}} \wedge x_{i-1, j+1, a_{4}} \wedge x_{i,j+1,a_{5}} \wedge x_{i+1,j+1,a_{6}})\]
需要一次看六格是不是合法的

\(\phi\)的大小是\(O(n^{2k})\),讓\(|C| = l \thicksim\) 依據N設計的transition大小
總共所有variable會有\(O(n^{2k})\)
\(\phi_{cell}:O(n^{2k}), \phi_{start}:O(n^{k})\)
\(\phi_{accept}, \phi_{move}: O(n^{2k})\)因此轉換可以在多項式時間內完成
推論(Cor):3SAT是NP-complete
證明:3SAT屬於NP
\(SAT \leq_{p} 3SAT\)
\((a_{1} \vee a_{2} \vee a_{3} \vee a_{4}) \equiv (a_{1} \vee a_{2} \vee z) \wedge (\bar{z} \vee a_{3} \vee a_{4})\)
如果\(l > 3, (a_{1} \vee a_{2} \vee a_{3} \vee …. \vee a_{l})\)
\[\equiv (a_{1} \vee a_{2} \vee z_{1}) \wedge (\bar{z_{1}} \vee a_{3} \vee a_{2}) \wedge (\bar{z_{2}} \vee a_{4} \vee z_{3}) \wedge … \wedge (\bar{z_{l-3}} \vee a_{l-1} \vee a_{l})\]
推論(Cor):CLIQUE屬於NP-complete
圖G的頂點覆蓋(Vertex cover of G):如果G屬於一個無向圖,G裡覆蓋的頂點(Vertex cover)是圖G裡一個子集合能夠讓G的每一條邊都接著一個點

\(\{2, 3\}\)是一組vertex cover
\(\{1, 3\}\)不是一組vertex cover
Vertex-Cover = {\(<G, k>\)|G是一個無向圖並且擁有k個點的vertex cover}
定理:Vertex-Cover屬於NP-complete
證明:Vertex-Cover屬於NP
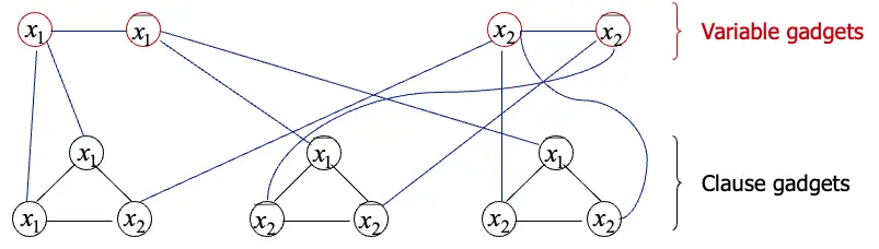
\[3SAT \leq_{p} VERTEX-COVER\]
\[\phi = (x_{1} \vee x_{1} \vee x_{2}) \wedge (\bar{x_{1}} \vee \bar{x_{2}} \vee \bar{x_{2}}) \wedge (\bar{x_{1}} \vee x_{2} \vee x_{2})\]

靠以上的轉換方法來證明滿足\(\phi\)的話代表G確實存在k個node的vertex cover
讓\(\phi\)擁有\(m\)個variable以及\(l\)個clauses使得\(k = m+2l\)
- 另外設計gadgets作為輔助的元件,一個true variable來自每個variable gadgets,兩個node來自clause gadget
- 每三個邊可以連接variable gadgets跟clause gadget來覆蓋
SUBSET-SUM
SUBSET-SUM = {\(<S, t>|S = \{x_{1},…,x_{k}\}\)以及對於某些\(\{y_{1},…,y_{i}} \subseteq S, \sum_{y_{i}} = t\)}
定理:SUBSET-SUM屬於NP-complete
證明:SUBSET-SUM屬於NP
\[3SAT \leq_{p} SUBSET-SUM\]
存在\(\phi\)是一個boolean formula擁有variables \(x_{1},…,x_{i}\)以及clauses \(c_{1},….,c_{k}\)
\[\phi = c_{1} \wedge c_{2} \wedge …. \wedge c_{k}|\phi \rightarrow\ <S, t>\]


- 假設\(\phi\)滿足的話,建構一個子集合\(S\),如果\(x_{i}\)給的值是TRUE,選擇\(y_{i}\),否則就另外選擇\(z_{i}\),對於每一次的\(i\),一次只會選擇\(y_{i}\)或\(z_{i}\)代表true或false,最後k個digits會把整個\(i\)加總起來算1,如果不到3的話由\(g\)跟\(h\)來補到3
- 假設一組S的子集合可以加總到\(t\),可以建構一組滿足\(\phi\)的公式,如果這組子集合包含\(y_{i}\)我們就設定\(x_{i}\)為TRUE,否則設定\(x_{i}\)為FALSE,而這樣的條件可以滿足\(\phi\)
整張表的大小是\(O((k+i)^{2}) \thicksim O(n^{2})\)
定理:\(HAMPATH \in NP-complete\)
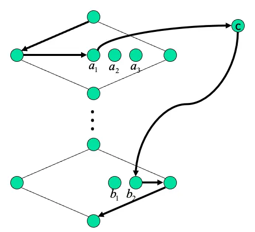
\[3SAT \leq_{p} HAMPATH\]
證明:存在一組3cnf-formula擁有k個clauses
\[\phi = (a_{1} \vee b_{1} \vee c_{1}) \wedge (a_{2} \vee b_{2} \vee c_{2}) \wedge … \wedge (a_{k} \vee b_{k} \vee c_{k})\]
每一個\(a,b,c\)可以看作literal的\(x_{i}\)或者\(\bar{x_{i}}\)以及\(x_{1},…..,x_{i}\)都是\(\phi\)的variables




如果存在一組可以滿足的參數,選擇clause裡面其中一個literal給TRUE
如果存在可以得到true的結果,代表存在一組Hamiltonian path從\(s\)走到\(t\)
如果Hamiltonian path是\(normal\),意思是可以從上面的鑽石型路徑頂端node走到最尾端的node,代表可以輕鬆找到一組滿足3CNF的路徑,因為每一組clause的點出現在路徑裡,只要點存在並且給TRUE的值,就可以接著走下去,如果是走\(zig-zag\)路徑就讓每一個node放TRUE,反之走\(zag-zig\)每一個點給False。
而Hamiltonian path必須是\(normal\)的

假設有兩種case:
case 1: \(a_{2}\)是一個離群的點
case 2: \(a_{3}\)是一個離群的點
在兩種情況下,路徑不包含\(a_{2}\)的點
在case 1: 路徑沒辦法從\(a_{1}\)或者\(c\)進入,因為路徑走到了其他的點上
在case 2: 路徑沒辦法從\(a_{3}\)進入,因為\(a_{3}\)跟\(a_{2}\)一樣是獨立的node在此種情況
定理:UHAMPATH屬於NP-complete
證明:
\[HAMPATH \leq_{p} UHAMPATH\]
\[Directed \> Graph \> G \rightarrow Undirected \> Graph \> G’\]
\(u \in V(G)\)
\(G’\)的點: \(u \Rightarrow u^{in}, u^{mid}, u^{out}[latex]
[latex]s \Rightarrow s^{out}, t \Rightarrow t^{in}\)
\(G’\)的邊: \(u \rightarrow v \in E(G) \Rightarrow u^{in} – u^{mid} – u^{out} – v^{in} – v^{mid} – v^{out}\)

如果\(s \rightarrow u_{1} \rightarrow u_{2} \rightarrow … \rightarrow u_{k} \rightarrow t\)是\(G\)裡的Hamiltonian path
則 \(s^{out} – u^{in}_{1} – u^{mid}_{1} – u^{out}_{1} – u^{in}_{2} – u^{mid}_{2} – u^{out}_{2} – … – u^{in}_{k} – u^{mid}_{k} – u^{out}_{k} – t^{in}\)屬於\(G’\)裡的無向Hamiltonian path。
